
Ulysses BP/RP simulator
Ulysses is a simple BP/RP simulator written specifically to meet the needs of CU8 to quickly simulate end-of-mission spectra of sources as seen by Gaia.
The need for a BP/RP simulator that can produce end-of-mission spectra with faster turn-around time and an ability to update the instrument profile as new informations regarding Gaia are obtained, has long been discussed within CU8. Ulysses is written to meet these needs.
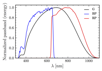
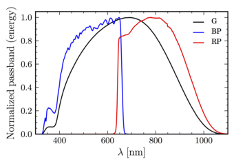
Ulysses simulates BP/RP spectra by convolving the input spectra from 300 to 1100 nanometer with the line spread function (LSF) of the Gaia optical instruments. The convolution is performed for every pixel in the BP/RP spectra. The transmissivity of the mirrors, filters, and prisms are also taken into account. The total transmissivities of these instruments are shown on the right.
In Ulysses, the dispersion curve of the BP/RP prisms are calculated from first principles. The LSF at the moment is taken from the analytical library which is based on instrument simulations.
Ulysses does not generate spectra, but rather it takes input spectra provided by the user. It will then produces end-of-mission sampled BP/RP spectra for a controllable number of transits. By providing the extinction A0, the user can also apply interstellar extinction effects by adopting either the Cardelli, Clayton, and Mathis (CCM, 1989) or the Fitzpatrick (1999) extinction curve.
The basic outputs of Ulysses are the noise-free BP/RP spectra and their corresponding wavelength, noise-free Gaia photometry (G, GBP, GRP, GRVS), and extinctions (A0, R0, AG, ABP, ARP). Users can also request additional outputs which consists of noisy spectra, the input spectra converted into photons cm-2 s-1 nm-1, noise-free UBVRI photometry as well as their extinctions, and the RVS-band extinction ARVS. Starting from version 3.5.2, users can also request the astrometric error estimates (σϖ, σα*, σδ, σμα*, σμδ), which depends on the brightness of the source and the centroiding accuracy of Gaia, but not on the intrinsic distance of the source.
An example of a BP/RP spectra output from Ulysses are shown below for stars at G = 15, with various Teff and all others parameters kept constant.

![Examples of noise-free BP/RP spectra (bottom plot) as simulated by Ulysses, here for stars with various Teff as indicated by the color coding. All other astrophysical parameters are kept the same for all stars: [Fe/H] = 0, A0 = 0, G = 15, and log g = 0. The top plot shows the corresponding original spectra before they are observed by Gaia. The input spectra are all taken from the PHOENIX library. Examples of noise-free BP/RP spectra (bottom plot) as simulated by Ulysses, here for stars with various Teff as indicated by the color coding. All other astrophysical parameters are kept the same for all stars: [Fe/H] = 0, A0 = 0, G = 15, and log g = 0. The top plot shows the corresponding original spectra before they are observed by Gaia. The input spectra are all taken from the PHOENIX library.](/4486063/original-1518438325.jpg?t=ZXlKM2FXUjBhQ0k2TXpReExDSm1hV3hsWDJWNGRHVnVjMmx2YmlJNkltcHdaeUlzSW05aWFsOXBaQ0k2TkRRNE5qQTJNMzA9LS03YWRlOTVkZmFjZjc1ZmJiZmI0OWMxNmNiMjI0ZDA4MDg4OTE3YTI0)