Beobachtungen von Transitplaneten

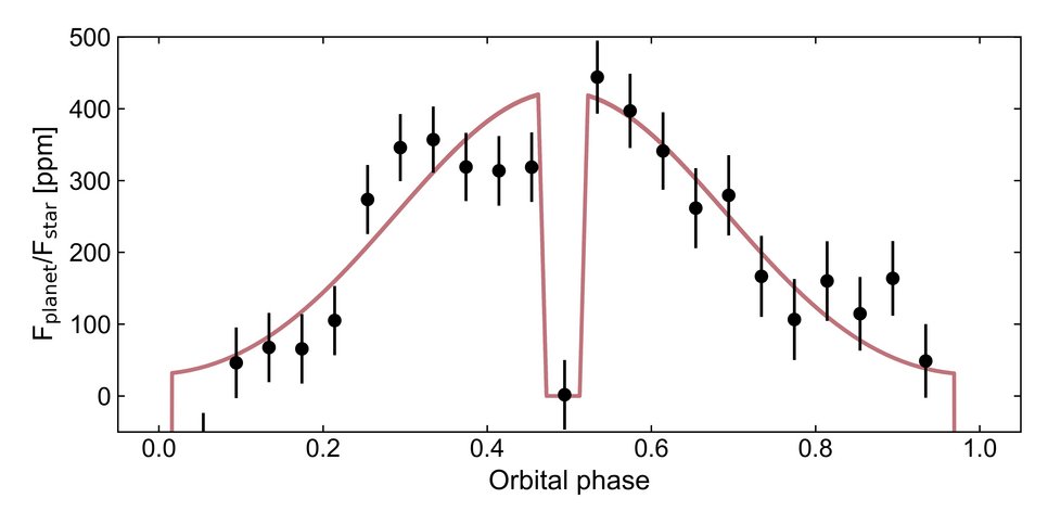
Transitplaneten sind ideale Ziele für die Charakterisierung ihrer Atmosphäre. Auch wenn die Planeten in Beobachtungen nicht von ihren Muttersternen getrennt werden können, ist es möglich, ihre Atmosphären zu studieren. Dazu werden die Veränderungen der Gesamthelligkeit des Systems (Planet + Stern) während Transits, Verfinsterungen und Phasenkurven gemessen. In der Abteilung APEx beobachten wir diese Ereignisse, um grundlegende Fragen über die atmosphärische Zusammensetzung und das Klima der Planeten zu klären. Dazu gehören:
- Wie stark sind die Atmosphären von heißen Jupitern mit wichtigen kohlenstoff- und sauerstoffhaltigen Molekülen angereichert? Können wir die heutige atmosphärische Zusammensetzung mit der Entstehungsgeschichte der Planeten in Verbindung bringen?
- Wie wirkt sich die intensive Strahlungsumgebung der kurzperiodischen Planeten auf ihr globales Klima, ihre Windmuster und ihre vertikale Temperaturstruktur aus?
- Wo liegt die Grenze zwischen Gesteins- und Gasplaneten? Wie ist die typische Zusammensetzung der kleinsten Gasplaneten?
- Wann und wo bilden sich Wolken und Dunst, und woraus bestehen sie?
- Unter welchen Bedingungen erhalten Gesteinsplaneten ihre Atmosphären aufrecht? Was sind die vorherrschenden chemischen Bestandteile von Gesteinsplaneten, die Atmosphären haben?
Die APEx-Forschung nutzt häufig Weltraumteleskope wie Hubble und Webb für die Charakterisierung von Atmosphären. Es ist normalerweise einfacher, Planeten aus dem Weltraum zu beobachten, wo die Erdatmosphäre die Messungen nicht beeinträchtigt. Seit 2022 bietet das James-Webb-Weltraumteleskop (JWST) revolutionäre neue Beobachtungsmöglichkeiten mit einem großen Spiegel und einer spektroskopischen Abdeckung, die bis in den Infrarotbereich reicht. Das JWST ermöglicht es uns, kleinere und kühlere Planeten zu charakterisieren und die Gasriesen detaillierter als je zuvor zu untersuchen. Zusätzlich zu den Weltraumteleskopen führen Innovationen in der bodengestützten Beobachtung dazu, dass immer mehr Planeten mit ergänzender, hochauflösender Spektroskopie untersucht werden können.