Atmospheres
Spectroscopy of exoplanets and brozn dwarfs opens a window on the exploration of the diversity of physical and chemical properties of other worlds atmospheres. These properties can tentivelly be connected to the processes of formation and evolution of these astrophysical objects to explore and understand their processes of formation.
Context & Goals
Once an exoplanet is discovered, the next step you want to achieve is the atmospheric characterization of the new exoplanet. Very early in 2004, I managed to obtain the first spectra of planetary mass companions like 2M1207 b or AB Pic b (Chauvin et al. 2004, 2005), revealing the presence of water, carbon monoxide, iron, vanadium oxide in their atmospheres, the existence of atomic lines of intermediate gravity (potassium, sodium) confirming the young age of these objects, but also showing for the first time the existence of thick cloud cover associated with very red colors linked to increased dust production at high altitude for the lowest atmospheric pressure conditions. To further study these exoplanetary atmospheres observed at low signal-to-noise or over restricted wavelength and resolution ranges due to the high contrast and small angular separation relative to their host star, we have been pioneering the use of long-slit and integral field spectrographs associated to Adaptive Optics to characterize in near-infrared the spectral morphology and atmospheric properties of the imaged exoplanets. In parallel, systematic spectroscopy of young brown dwarfs (isolated or companions to stars) have shown to be very precious as physical and atmospheric analogs of young imaged exoplanets. They set together the foundations for a homogeneous characterization (atomic and molecular lines, luminosity, temperature, radius and composition) to test the predictions of the latest generation of exoplanetary atmosphere models, to identify the deviations linked to the presence of clouds, variability, composition and metallicity, and explore the physics of giant planet atmospheres and brown dwarfs, but also the potential differences connected to their different formation mechanisms. The advent of new spectrographs at medium and high spectral resolution on the VLT (SPHERE, ERIS) and the ELT (HARMONI, METIS, HIRES and PCS) combining high angular and high spectral resolution is particularly promising for the characterization of atmospheres of giant and telluric exoplanets, down to the detection of possible biosignatures.
Atmospheres of young Jupiters
Today, most imaged exoplanets are young, late-M, L to early T-types exoplanets with dusty atmospheres. The majority occupies a slightly distinct space compared to field brown dwarfs in near-IR color-magnitude diagrams. They are redder than field brown dwarfs, their older counterparts. For some cases like 2M1207b and HR8799b, they are also underluminous. The most plausible explanation is the presence of unusual thick clouds due to low surface gravity conditions in these young planetary atmospheres. Modification of the cloud thickness and distribution is corroborated by recent variability studies that show higher-amplitude variability in young L dwarfs than old ones. From the early studies gathering a few photometric measurements, to the low-resolution spectra obtained with SPHERE and GPI like for the first exoplanet discovered with SPHERE around HIP 65426 (Chauvin et al. 2017), the use of medium to high spectral resolution is today particularly interesting to expand our knowledge of exoplanetary atmospheres, but also study the radial and rotational velocities of the planet. With adavanced techique in data processing combining high angular resolution and medium (5000+) spectral resolution techniques, we are now able to characterize young massive exoplanet atmospheres like for HIP 65426 b (see Petrus et al. 2021), and particularly measure the molecular abundances of water, carbon-dioxide and monoxide or methane together with the bulk properties of the planet (effective temperature, luminosity, radius, metallicity) to test their origin (formation mechanisms and birth location within the protoplanetary disk snowlines).
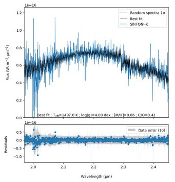
The X-Shyne Survey for Exoplanetary analogs
In 2018, following the pionieer study of young substellar companions and brown dwarfs at the late-M to L transition led with SINFONI at VLT together with Mickael Bonnefoy (Bonnefoy, Chauvin et al. 2014), I have initiated the X-SHYNE project, a X-Shooter survey carried out to characterize the visible and near-infrared spectral energy distribution of newly identified and confirmed young brown dwarf analogs to exoplanets with spectral types ranging from early-L to mid-T-types. These young, isolated planetary-mass objects, with known distances, ages and membership characterized using the BANYAN Σ Bayesian analysis tool, offer an ideal laboratory to explore the physical processes at play in comparable atmospheres to the ones of known imaged exoplanets. Our goals are to empirically characterize their atomic and molecular lines, derive their fundamental physical properties (effective temperatures, surface gravities, metallicities, chemical abundances), finally test their cloud properties as well as the importance of non-equilibrium and thermo-chemical instability processes in their atmospheres. The exploration of medium resolution spectra of young, substellar brown dwarf and exoplanets with the state-of-the-art atmospheric modeling techniques (retrieval and forward modelling) enable to retrieve key parameters like effective temperature, surface gravity, metallicity, and abundances including the carbon to oxygen ratio. This ratio is expected to radially vary in protoplanetary disks due to the location of the snowlines of different molecules (water, carbon dioxide, carbon monoxide). This differentiation is expected to be transferred to the composition of the giant planet atmospheres during their formation. The X-SHYNE characterization of young, isolated brown dwarfs expected to have formed through fragmentation and collapse of molecular clouds, like stars, will provide an important benchmark in comparison of potentially exoplanetary atmospheres enriched in heavy elements during their formation. The X-SHYNE survey represents the core of the Ph.D. project of Simon Petrus that I currently supervise.
Key Publications
Publications related to the Atmospheres of Young Jupiters:
- Hoeijmakers, H. J., Schwarz, H., Snellen, I. A. G., de Kok, R. J., Bonnefoy, M., Chauvin, G., Lagrange, A. M., & Girard, J. H. 2018, Astronomy and Astrophysics Medium-resolution integral-field spectroscopy for high-contrast exoplanet imaging. Molecule maps of the β Pictoris system with SINFONI
- Chauvin, G., Desidera, S., Lagrange, A. -M., Vigan, A., Gratton, R., Langlois, M., Bonnefoy, M., Beuzit, J. -L., Feldt, M., Mouillet, D. et al. 2017, Astronomy and Astrophysics Discovery of a warm, dusty giant planet around HIP 65426
- Chauvin, G., Lagrange, A. -M., Zuckerman, B., Dumas, C., Mouillet, D., Song, I., Beuzit, J. -L., Lowrance, P., & Bessell, M. S. 2005, Astronomy and Astrophysics A companion to AB Pic at the planet/brown dwarf boundary
- Chauvin, G., Lagrange, A. -M., Dumas, C., Zuckerman, B., Mouillet, D., Song, I., Beuzit, J. -L., & Lowrance, P. 2004, Astronomy and Astrophysics A giant planet candidate near a young brown dwarf. Direct VLT/NACO observations using IR wavefront sensing
Publications of the X-SHYNE project and related:
- Petrus, S., Bonnefoy, M., Chauvin, G., Charnay, B., Marleau, G. -D., Gratton, R., Lagrange, A. -M., Rameau, J., Mordasini, C., Nowak, M., Delorme, P., Boccaletti, A., Carlotti, A., Houllé, M., Vigan, A., Allard, F., Desidera, S., D'Orazi, V., Hoeijmakers, H. J., Wyttenbach, A., & Lavie, B. 2021, Astronomy and Astrophysics Medium-resolution spectrum of the exoplanet HIP 65426 b
- Petrus, S., Bonnefoy, M., Chauvin, G., Babusiaux, C., Delorme, P., Lagrange, A. -M., Florent, N., Bayo, A., Janson, M., Biller, B., Manjavacas, E., Marleau, G. -D., & Kopytova, T. 2020, Astronomy and Astrophysics A new take on the low-mass brown dwarf companions on wide orbits in Upper-Scorpius
- Bonnefoy, M., Chauvin, G., Lagrange, A. -M., Rojo, P., Allard, F., Pinte, C., Dumas, C., & Homeier, D. 2014, Astronomy and Astrophysics A library of near-infrared integral field spectra of young M-L dwarfs
Colaborators
Sample, Data reduction & extraction: Jacky Faherty, Jonathan Gagné, Mickael Bonnefoy, Philippe Delorme, Anne-Marie Lagrange, Simon Petrus, Patricio Rojo, Paulina Palma Bifani
Models: Benjamin Charnay, Bruno Bézar, Pascal Tremblin, Paul Molliere & Derek Homeier


