When dwarfs give birth to giants
A newly discovered exoplanet challenges current models pertaining to planet formation
Astronomers of the CARMENES consortium have discovered a new exoplanet that should not exist according to current knowledge. The research group, which includes the Max Planck Institute for Astronomy (MPIA, Heidelberg), found a gaseous planet whose mass is unusually large compared to its host star GJ 3512. The scientists conclude that this planet probably originated from a gravitationally unstable disk of gas and dust around the then still young dwarf star. This contradicts the currently, widely accepted model of planet formation, which requires a solid core to collect surrounding gas.
Astronomers are certain that planets are a by-product from the process of star formation. They form in the disk from which their parent star also emerged. The predominant model for the formation of planets is based on the notion that an object initially develops from solid particles in the disk. The gravitational pull of this planetary embryo ensures that an atmosphere is formed from the surrounding gas. Now scientists of the CARMENES consortium led by Juan Carlos Morales, a researcher from the Institute of Space Studies of Catalonia (IEEC) at the Institute of Space Sciences (ICE, CSIC), with contributions from Diana Kossakowski and Hubert Klahr (MPIA) have discovered a gas planet similar to Jupiter that contradicts this model. Instead, it seems to have developed directly out of the disk, without a solid nucleus of condensation.
A giant gas planet in the neighbourhood of the Solar System
This gas giant, called GJ 3512 b, together with its mother star GJ 3512, is only 9.5 parsecs (30 light years) away from the Sun and has a mass of at least half of that of Jupiter. It takes 204 days for this planet to complete one orbit.
Considering the planet on its own, GJ 3512 b is not unusual – but the fact that it is orbiting a red dwarf star makes this planet special. GJ 3512 has only 12% of the mass of the Sun, so the maximum mass ratio between the star and the planet is 270. In comparison, the Sun is about 1050 times heavier than Jupiter. This detail causes headaches for theoretical physicists. The gas and dust disks from which low-mass stars like GJ 3512 evolve should contain rather little material. In fact, too little, as the models show, to be able to even create planetary embryos that could grow into gas giants such as GJ 3512 b itself.
“One way out would be a very massive disk that has the necessary building blocks in sufficient quantity,” explains Hubert Klahr, who heads a working group on the theory of planet formation at the MPIA. However, if a disk of gas and dust around a star has more than about 1/10 of the stellar mass, the gravitational effect of the star is no longer sufficient to keep the disk stable. The gravity of the disk material itself becomes noticeable and significant. The result is then a gravitational collapse as it happens during star formation. However, such mentioned massive disks have not yet been observed around young dwarf stars.
The mass of GJ 3512 b cannot be explained via the standard model
The situation gets even more difficult because there is evidence for yet another planet in a long-term orbit around GJ 3512. In addition to these two planets, the strongly elliptical orbit of GJ 3512 b [1] suggests that it was once under the gravitational influence of a possible third planet of similar mass. However, this presumed third planet must have obviously been ejected from the planetary system. This means that in addition to the disk mass required to produce GJ 3512 b, there must have been significantly more matter to create the conditions for the formation of one or even two more planets. This is well outside the boundaries of current stellar and planetary formation models.
Thus, the researchers of MPIA, the University of Lund in Sweden and the University of Bern, who deal with the simulation of the formation of planets, concluded that the core accretion model fails to explain the existence of GJ 3512 b. Therefore, they have investigated the conditions under which the up to now rather neglected scenario of gravitational disk collapse could indeed lead to the formation of a planet such as GJ 3512 b.
Formation by compression of disk material
Using different approaches, they arrived to the same conclusion that GJ 3512 b could have been formed by this process. The regions in the disk beyond 10 au (1 au = 1 astronomical unit: the distance between Earth and Sun) of the central star are very cold with temperatures at about 10 K (-263 °C). There, the thermal pressure cannot compensate for the gravitational effect of the material, so that it collapses under its own weight. Subsequently, the young planet must have migrated over long distances to its current position at a distance well below 1 au from its parent star. This, in turn, is compatible with the current models for the development of planetary systems.
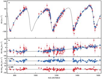
GJ 3512 b was discovered with the CARMENES spectrograph using the radial velocity method [2] (Fig. 2). CARMENES records spectra in both visible and infrared light. “Red dwarf stars like GJ 3512 show very active behaviour and generate signals similar to those of planets,” explains Diana Kossakowski (MPIA), who was instrumental in the evaluation and the analysis of the data. “The infrared spectra were then important to confirm that what we found is indeed a planet.”
“Until now, the only planets whose formation was compatible with disk instabilities were a handful of young, hot and very massive planets far away from their host stars,” Hubert Klahr points out. “With GJ 3512 b, we now have an extraordinary candidate for a planet that could have emerged from the instability of a disk around a star with very little mass. This find prompts us to review our models.”
Endnotes
[1] GJ 3512 b is on an orbital trajectory that leads it around GJ 3512 at distances that vary between 0.2 and 0.5 au.
[2] The gravitational interaction between the planet and the star force them to orbit around their common centre of gravity. This causes GJ 3512 to periodically move towards us and away from us, changing the speed of the star along the line of sight. This leads to a shift in the spectral lines generated by the star – alternating between blue and red shifts in the spectrum. From this, the orbital period and the minimum mass of the planet GJ 3512 b can be determined.
Background information
This study is the result of cooperation between many international institutes from Spain, Germany and other countries. For the MPIA, Diana Kossakowski, Hubert Klahr, Martin Schlecker, Trifon Trifonov, Martin Kürster and Thomas Henning have made important contributions.
The instrument CARMENES (Calar Alto high-Resolution search for M dwarfs with Exoearths with Near-infrared and optical Échelle Spectrographs) is a high-resolution spectrograph for visible and near-infrared light. The project is carried out by the Universities of Göttingen, Hamburg, Heidelberg and Madrid, the Max Planck Institute for Astronomy (MPIA), Heidelberg, the institutes of the Consejo Superior de Investigaciones Científicas (CSIC) in Barcelona, Granada and Madrid, the Thuringian State Observatory, the Instituto de Astrofísica de Canarias (IAC) and the Calar Alto Observatory (CAHA). Since 2016, German and Spanish scientists have been searching for planets around stars in our cosmic neighbourhood.

