Wolken bedecken die Nachtseite des heißen Exoplaneten WASP-43b
Hohe Temperaturen und extreme Windgeschwindigkeiten beeinflussen die Chemie in der Atmosphäre des Planeten.
Ein Forschungsteam, darunter auch Forschende des MPIA, hat mit Hilfe des Weltraumteleskops James Webb eine Temperaturkarte des heißen Gasriesen-Exoplaneten WASP-43b erstellt. Der nahe gelegene Mutterstern beleuchtet ständig eine Hälfte des Planeten und lässt die Temperaturen auf glühende 1250 Grad Celsius ansteigen. Währenddessen herrscht auf der anderen Seite ewige Nacht. Heftige Winde wehen die glühend heiße Luft auf die Nachtseite, wo sie auf 600 Grad abkühlt, so dass sich Wolken bilden und die gesamte Hemisphäre bedecken. Diese Stürme beeinträchtigen die chemischen Reaktionen so sehr, dass sich kaum Methan bilden kann, obwohl es unter ruhigeren Bedingungen reichlich vorhanden sein müsste.
Heiße Jupiter sind extreme Gasriesen-Exoplaneten, die ihre Wirtssterne in unmittelbarer Nähe umkreisen. Dies führt zu einer Reihe exotischer Eigenschaften hinsichtlich Temperatur, Dichte, Zusammensetzung, Chemie und Wetter. Mit dem Aufkommen revolutionärer empfindlicher Teleskope, wie dem Weltraumteleskop James Webb (JWST), haben Astronominnen und Astronomen begonnen, ihre Atmosphären im Detail zu untersuchen.
Eine internationale Forschungs-Kooperation, das JWST Transiting Exoplanet Early Release Science (JTEC-ERS) Team, hat das Klima des heißen Jupiter WASP-43b mit dem Mid-Infrared Instrument (MIRI) des JWST im Detail ins Visier genommen. Die Ergebnisse dieser Untersuchung unter der Leitung von Taylor J. Bell (BAER Institute and Space Science and Astrobiology Division, NASA Ames Research Center, USA) wurden in Nature Astronomy veröffentlicht.
Eine extreme Welt, wie es sie im Sonnensystem nicht gibt
Das zentrale Ergebnis ist eine Karte der globalen Temperaturverteilung. Sie wurde aus dem Infrarotlicht abgeleitet, das WASP-43b als Reaktion auf die Bestrahlung durch seinen Wirtsstern aussendet. Da MIRI einen Spektralbereich abdeckt, der für warme Materialien empfindlich ist, funktioniert es ähnlich wie ein berührungsloses Thermometer, das zur Messung von Körpertemperaturen verwendet wird, allerdings über große Entfernungen, die bei WASP-43b 280 Lichtjahre betragen. In dieser Karte liegen die gemessenen Temperaturen zwischen 600 und 1250 Grad Celsius. Im Gegensatz dazu erreicht Jupiter, der Gasriese im Sonnensystem, bei vergleichbaren Beobachtungen frostige –135 Grad.
Obwohl er in Größe und Masse dem Jupiter ähnelt, ist WASP-43b eine ganz andere Welt. Der Planet befindet sich auf einer außergewöhnlich engen Umlaufbahn um seinen Wirtsstern WASP-43. Er rast gerade einmal zwei Sterndurchmesser über der Oberfläche des Sterns und vollendet seine Bahn in nur 19,5 Stunden. Der geringe Abstand führte dazu, dass der Tag und das Jahr des Planeten sich aneinander anglichen. Mit anderen Worten: Die Umrundung des Sterns dauert genauso lange, wie der Planet für eine Drehung um seine Achse benötigt. Folglich beleuchtet und erwärmt der Stern immer dieselbe Seite des Planeten.
Winde transportieren die Luft auf die gegenüberliegende Hemisphäre, wo sie in der ewigen Nacht abkühlt. Auf WASP-43b sind diese Winde jedoch extrem heftig, mit Windgeschwindigkeiten von fast 9000 km/h. Das übertrifft alles, was wir in unserem Sonnensystem beobachten können. Im Vergleich dazu sind selbst die stärksten Winde auf dem Jupiter nur ein laues Lüftchen.
Wasserdampf, Wolken aus flüssigem Gestein und ein überraschender Mangel an Methan
„Schon mit Hubble konnten wir auf der Tagseite Wasserdampf deutlich nachweisen. Weltraumteleskope wie Hubble und Spitzer deuteten darauf hin, dass es auf der Nachtseite Wolken geben könnte“, erklärt Taylor Bell. „Um die Temperatur, die Wolkenbedeckung, die Winde und die detailliertere atmosphärische Zusammensetzung rund um den Planeten zu kartieren, benötigten wir aber präzisere Messungen mit dem JWST.“
Die JWST-Beobachtungen ergaben, dass der Temperaturkontrast zwischen der Tages- und der Nachtseite stärker ist, als man es bei einer wolkenfreien Atmosphäre erwarten würde. Modellberechnungen bestätigen, dass die Nachtseite des Planeten von einer dicken Wolkenschicht hoch oben in der Atmosphäre umhüllt ist, die einen Großteil der Infrarotstrahlung von den unteren Schichten blockiert, die wir sonst sehen würden. Die genaue Art der Wolken ist noch unbekannt. Auf jeden Fall handelt es sich nicht um Wasserwolken wie auf der Erde, geschweige denn um Ammoniakwolken, wie wir sie auf dem Jupiter sehen. Denn der Planet ist viel zu heiß, als dass Wasser und Ammoniak kondensieren könnten. Stattdessen dürften bei diesen Temperaturen eher Wolken aus Gestein und Mineralien vorhanden sein. Wir sollten also Wolken aus flüssigen Gesteinströpfchen erwarten. Andererseits scheint die heißere Tagseite von WASP-43b wolkenfrei zu sein.
Um die Zusammensetzung der Atmosphäre genauer zu untersuchen, erstellte das Team Spektren, d. h. sie zerlegten das empfangene Infrarotlicht in winzige Wellenlängenabschnitte, ähnlich wie ein Regenbogen, der die Farbkomponenten des Sonnenlichts sichtbar macht. Mit dieser Methode konnten sie die Signaturen einzelner chemischer Verbindungen identifizieren, die bei bestimmten Wellenlängen strahlen. Im Ergebnis bestätigten die Astronominnen und Astronomen frühere Messungen von Wasserdampf, nun allerdings über den gesamten Planeten. Hubble konnte nur die Tagseite studieren, da die Nachtseite zu dunkel war, um dort Moleküle zu erkennen. JWST mit seiner höheren Empfindlichkeit vervollständigt nun das Bild.
Ferner beherbergen heiße Jupiter typischerweise große Mengen an molekularem Wasserstoff und Kohlenmonoxid, die beide mit den Beobachtungen des Teams nicht untersucht werden konnten. Wenn sie jedoch der kühleren Nachtseite ausgesetzt sind, nehmen Wasserstoff und Kohlenmonoxid an einer Reihe von Reaktionen teil, die Methan und Wasser erzeugen. MIRI hat jedoch kein Methan gefunden. Die Forschenden erklären diese Überraschung mit den enormen Windgeschwindigkeiten auf WASP-43b. Die Reaktionspartner passieren die kühlere Nachtseite so schnell, dass für die erwarteten chemischen Reaktionen nur wenig Zeit bleibt, um nachweisbare Mengen an Methan zu produzieren. Jeder noch so kleine Anteil an Methan wird gründlich mit den anderen Gasen vermischt. Es erreicht schnell wieder die Tagseite, wo es der zerstörerischen Hitze ausgesetzt ist.
„Mit dem JWST ist es uns gelungen, WASP-43b in noch nie dagewesener Detailtreue zu enträtseln“, sagt Laura Kreidberg, Direktorin am Max-Planck-Institut für Astronomie (MPIA) in Heidelberg. Sie ist Mitautorin des zugrundeliegenden Forschungsartikels und dem Planeten seit einem Jahrzehnt auf der Spur. „Wir sehen eine komplexe, unwirtliche Welt mit heftigen Winden, enormen Temperaturunterschieden und einer Wolkendecke, die wahrscheinlich aus Gesteinströpfchen besteht. WASP-43b erinnert uns daran, wie vielfältig das Klima auf Exoplaneten sein kann und dass die Erde in vielerlei Hinsicht besonders ist.“
Beobachtung eines Planetenkarussells
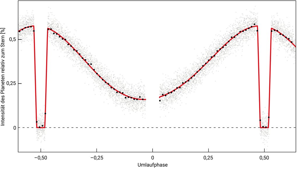
WASP-43b wurde 2011 durch die Transitmethode entdeckt. Immer wenn die Umlaufbahn eines Exoplaneten so ausgerichtet ist, dass er aus unserer Perspektive vor seinem Wirtsstern vorbeizieht, blockiert die Bedeckung einen kleinen Teil des Sternenlichts. Dieser periodische Abfall der Sternhelligkeit ist ein verräterisches Zeichen für ein Objekt, das um den Stern kreist. Anhand der genauen Signalform lassen sich die Größe des Planeten und die Neigung seiner berechnen.
Astronominnen und Astronomen machen sich einen sekundären Effekt zunutze, um den Planeten im Detail zu untersuchen. Nehmen wir als Beispiel die Venus, die während ihres Umlaufs um die Sonne ihre Beleuchtung ähnlich wie Mondphasen ändert. Exoplaneten zeigen in ähnlicher Weise unterschiedliche Phasen der Infrarotstrahlung, je nachdem, wie der Stern die Tagseite aufheizt. Die Beobachtung der allmählichen Veränderung der Proportionen zwischen der heißen und der kühlen Hemisphäre ergibt ein charakteristisches Muster, das zeigt, wie sich die gemessene Infrarot-Helligkeit des Planeten mit der Zeit verändert. Die Analyse dieses winzigen Signals, der sogenannten Phasenkurve, die das Team von WASP-43b erhielt, ermöglichte die Erstellung der Temperaturkarte und die Kartierung der Gasverteilung in seiner Atmosphäre.
Die Zukunft ist infrarot-strahlend
Eine Folgestudie eines anderen Teams unter der Leitung des ehemaligen MPIA-Wissenschaftlers Stephan Birkmann (Europäische Weltraumorganisation, ESA) wird WASP-43b mit dem Nahinfrarotspektrometer (NIRSpec) des JWST untersuchen. Diese Messungen sind empfindlich für Kohlenmonoxidgas, das in der Atmosphäre weitverbreitet sein sollte. Weiterhin wird die erweiterte Wellenlängenabdeckung die Genauigkeit der MIRI-Temperaturkarte verbessern und dazu beitragen, die Verteilung und Zusammensetzung der Wolken genauer zu untersuchen.
Hintergrundinformationen
Die an dieser Studie beteiligten MPIA-Wissenschaftler sind Laura Kreidberg, Eva-Maria Ahrer (außerdem University of Warwick, Coventry, UK), Sebastian Zieba (außerdem Sternwarte Leiden, Universität Leiden, Niederlande [Leiden]) und Maria E. Steinrueck (jetzt University of Chicago, USA).
Weitere Forscher sind Taylor J. Bell (BAER Institute and Space Science and Astrobiology Division, NASA Ames Research Center, Moffet Field, USA), Nicolas Crouzet (Leiden) und Patricio E. Cubillos (INAF - Osservatorio Astrofisico di Torino, Pino Torinese, Italien und Weltraumforschungsinstitut, Österreichische Akademie der Wissenschaften, Graz, Österreich).
Das MIRI-Konsortium besteht aus den ESA-Mitgliedstaaten Belgien, Dänemark, Frankreich, Deutschland, Irland, den Niederlanden, Spanien, Schweden, der Schweiz und dem Vereinigten Königreich. Die nationalen Wissenschaftsorganisationen finanzieren die Arbeit des Konsortiums - in Deutschland die Max-Planck-Gesellschaft (MPG) und das Deutsche Zentrum für Luft- und Raumfahrt (DLR). Die beteiligten deutschen Institutionen sind das Max-Planck-Institut für Astronomie in Heidelberg, die Universität Köln und die Hensoldt AG in Oberkochen, ehemals Carl Zeiss Optronics.
Das JWST ist das weltweit führende Observatorium für die Weltraumforschung. Es ist ein internationales Programm, das von der NASA gemeinsam mit ihren Partnern ESA (Europäische Weltraumorganisation) und CSA (Kanadische Weltraumorganisation) geleitet wird.
MN















